-ADA×ÜÌ屬·¢ÂÊ£ºÖÎÁÆÔöÇ¿ºÍÖÎÁÆÒýÆðADAÑôÐÔÊÜÊÔÕßµÄ×ܺͣ¬³ýÒÔ¿ÉÆÀ¹ÀÊÜÊÔÕßµÄ×ÜÊý£¬¶øµÃ³öµÄ°Ù·Ö±È¡£²»°üÀ¨¸øÒ©ºóûÓÐÈκÎÑù±¾¹©ÆÀ¹À£¬»ùÏßÑôÐÔµÄÊÜÊÔÕß¡£
-ÖÎÁÆÒýÆðµÄADA±¬·¢ÂÊ£ºÖÎÁÆÒýÆðADAÑôÐÔÊÜÊÔÕß×ÜÊý£¬³ýÒÔ¿ÉÆÀ¹ÀµÄ£¬»ùÏßADAÒõÐÔµÄÊÜÊÔÕß×ÜÊý£¬¶øµÃ³öµÄ°Ù·Ö±È¡£±ðµÄ£¬ÐèÒª±¨¸æ´Ë×éÊÜÊÔÕߵζȵķåÖµºÍ¹æÄ££¨ÖÐλÊý¡¢IQR£©¡£
•ÖкÍÐÔADA£ºÈôÊÇÊÊÓõϰ£¬°´ÉÏÎÄËùÊöÆÊÎö±¨¸æÔ¤Ïȱ£´æµÄNAb¡¢ÔöÇ¿ºÍ±¬·¢ÂÊ¡£ÈôÊÇADAÔÚËùÓÐÊÜÊÔÕßÖж¼ÊÇÖкÍÐÔADA£¬ÔòÎÞÐè×÷µ¥¶ÀµÄÆÊÎö¡£
•ADA¶¯Á¦Ñ§£ºADA·ºÆðµÄʱ»ú¼°ÆäÒ»Á¬Ê±¼ä¹ØÓÚÁÙ´²Ò½Éú¼à²âÖÎÁƵÄÏ£ÍûºÜÊÇÓÐÓ᣿¹ÌåµÄÒ»Á¬ÐÔÔÚ¼¸¸ö²¡ÀýÖÐÏÔʾÓëÁÙ´²Ð§Ó¦Ïà¹ØÁª¡£
¶ÔÒ©Î↑·¢Ö°Ô±¶øÑÔ£¬¹ØÓÚADA¶¯Á¦Ñ§ÖªÊ¶ÓÐÖúÓÚÓÅ»¯Í³Ò»ÉúÎïÒ©ºóÐøÑо¿ÖеIJÉÑùÍýÏ룬ÒÔ¼°×÷ΪҩÎïÉÏÊкóÒ©Îᆵ½äÍýÏëµÄÒ»²¿·Ö£¬ÖúÁ¦ADA¼à²âÍýÏëµÄÓÅ»¯¡¢Î£º¦µÄ¹ÜÀí»ººÍ½â¡£
ADA¶¯Á¦Ñ§µÄͼÏñÌåÏÖÊÇ×îÓÐÓõġ£ÀýÈ磬ͼ1ÖÐ˵Ã÷ÎúADA×îÏȺÍADAÒ»Á¬Ê±¼äµÄË«±äÁ¿Í¼£»Í¼2ÖÐËùʾΪ˲ʱ̬ÓëÒ»Á¬ÐÔADAƵÂÊͼ¡£µ±ADAÑôÐÔÊÜÊÔÕßÊýÄ¿½Ï¶à£¨ÀýÈç≥20£©£¬²¢ÇÒÑо¿Ò»Á¬Ê±¼ä×ã¹»³¤£¬×ãÒÔʶ±ðÆä·¢Óýºó³¤ÆÚÐÔ¿¹Ì壨ÀýÈç≥1Ä꣩ʱ£¬ÕâЩÀàÐ͵Äͼ±íÔ̺¬µÄÐÅÏ¢×ºñ¡£
ͼ1.ÖÎÁÆÒýÆðµÄADA¶¯Á¦Ñ§: ±¬·¢ºÍÒ»Á¬Ê±¼ä¡£ADAÑôÐÔЧ¹ûÒ»Á¬Ê±¼äÓëADA±¬·¢Ê±¼äµÄʾÒâͼ¡£±ÊÖ±ºÍË®Æ½Íø¸ñÏß»æÖÆÔÚÂþÑܵÄËÄ·ÖλÊý´¦£ºÕâÓÐÖúÓÚÈ·¶¨ADAµÄÒ»Á¬ÐÔ»ò˲ʱÐÔÊÇ·ñÓëÔÚ»¼ÕßÖÐÊӲ쵽ADAµÄʱ¼äÏà¹Ø¡£ÎªÁ˰ü¹ÜÆÀ¹ÀµÄ׼ȷÐÔ£¬Ö»ÓÐÄÇЩADAʼ·¢Ê±¼äÊÇÉϴλá¼ûǰÖÁÉÙ16ÖÜ£¬»òÕßÔÚÉϴλá¼ûʱ»ò֮ǰÊÇADAÒõÐԵϼÕߣ¬²ÅÓ¦ÁÐÈë´Ëͼ¡£ÔÚÚ¹ÊÍ´ËʾÒâͼʱ£¬Ó¦ÇмÇÔÚ½ÏÍíµÄADAʼ·¢Ê±¼äµÄ×î´óÒ»Á¬Ê±¼ä½«°´±ÈÀýïÔÌ¡£Í¼ÖеķûºÅ¿ÉÒÔָʾËùÑ¡ÔñµÄ±äÁ¿£¨±¾ÀýÖÐÊǼÁÁ¿£©£¬ÁÙ´²Ð§Ó¦£¬È磺¶ÔÁÆÐ§µÄÓ°Ï죨ÀýÈ磺ÊÇ£¬·ñ£¬ºÍÑо¿ÖÐÖ¹£©£¬²»Á¼·´Ó¦£¨ÀýÈ磺ÊÇ£¬·ñ£¬ºÍÑо¿ÖÐÖ¹£©µÈ¡£
µ±Ñù±¾Á¿×ã¹»´óʱ£¬»¹½¨Òé¶ÔЧ¹û¾ÙÐиü¶àµÄͳ¼ÆÐÎò¡£ÕâÖֿ͹۵ÄÒªÁì¿ÉÒÔ±ÜÃâÓÉÓÚÖ÷¹Û˽¼û¶øÇú½âЧ¹û¡£µ«ÖµµÃ×¢ÖØµÄÊÇ£¬¹ØÓÚÑù±¾Á¿¾ÞϸµÄÆÀ¹ÀӦƾ֤ÏêϸÇéÐÎÅжϣ¬Ò²ÒªÈ¡¾öÓÚÁÙ´²Ñо¿µÄÉè¼Æ¡£½¨Òé½ÓÄÉÒÔÏÂÅÌËãÒªÁ죺
£¨a£©ADAµÄʼ·¢£¨Onset£©£ºÖ¸ÔÚÑо¿ÖÐÊ״θøÒ©µ½·¢Ã÷µÚÒ»ÀýÖÎÁÆÒýÆðADAµÄʱ¼ä¶Î¡£Ê¹ÓÃÏÖʵ¾ÓɵÄʱ¼äÊÇÅÌËã¸Ãʱ¼ä¶ÎµÄÀíÏëÑ¡Ôñ£¬²»¹ýʹÓÃ×î³õÉ趨µÄÑо¿Ê±¼ä¶ÎÒ²ÊÇ¿ÉÐеġ£ÅÌËã“ADA ·ºÆðµÄʱ¼äÖÐλֵ£¨median time to ADAdevelopment£©”ºÍËÄ·ÖλÊý Q1 ºÍ Q3£¬¿ÉÒÔ»®·ÖÓÃÀ´Ú¹ÊÍ50%¡¢25%ºÍ75%µÄADAÑôÐÔÊÜÊÔÕßµÄADAʼ·¢Ê±¼ä¡£ÆÊÎöADAʼ·¢Ïà¹ØµÄÆäËû²ÎÊý¿ÉÒÔÊÇ£º“µ½ADAʼ·¢µÄ¸øÒ©´ÎÊý"»ò "µ½ADAʼ·¢µÄÒ©Îï̻¶ÌìÊý”¡£
£¨b£©ADAµÄÒ»Á¬Ê±¼ä£ºÖ¸Ò©ÎïÒýÆðµÄADAµÄÊÙÃü¡£ÅÌËãºÍ±¨¸æÓÕµ¼±¬·¢µÄADAÏìÓ¦µÄÖÐλһÁ¬Ê±¼äºÍIQR£¬¹ØÓÚÆÀ¹ÀÆäÓëÁÙ´²Ð§¹ûµÄÏà¹ØÐÔ£¬ÊÇ×î¿Í¹ÛµÄÒªÁì¡£µ«¼òªµØ½« ADA ·ÖÀàΪ˲ʱÐÔÓëÒ»Á¬ÐÔµÄÒªÁìÕ¼Ö÷µ¼Ö°Î»¡£ËäȻûÓÐÐëҪʹÓôËÀàÊõÓï¾ÙÐзÖÀ࣬µ«ÔÚÓ¦ÓÃÕâЩÊõÓïʱ£¬Ê¹ÓÃͳһ½ç˵¾Í±äµÃºÜÊÇÖ÷ÒªÁË¡£ÓÉÓÚ×ÔÈ»£¨ÄÚÔ´ÐÔ£©µÄÈËÀàIgG1£¬IgG2ºÍIgG4µÄ°ëË¥ÆÚԼĪÔÚ21-25Ìì×óÓÒ£¬Îå¸ö°ëË¥ÆÚԼμ´ÊÇ16ÖÜ¡£ÈôÊÇADAÖ»±»Ò©ÎïÓÕµ¼±¬·¢£¬²¢ÇÒ´Óδ±»ÖØÐ´̼¤»òÔöÇ¿£¨Ò»ÖÖ"˲ʱ̬"¿¹Ì壩£¬Ëü½«ÊÜÈËÌåµÄ×ÔȻɨ³ý»úÖÆµÄÔ¼Êø¡£Òò´Ë£¬ADAÔ¤¼Æ½«ÔÚÎå¸ö°ëË¥ÆÚÖ®ºó±»Íêȫɨ³ý£¨ÏÖʵÉÏֻʣÏÂ΢ȱ·¦µÀµÄ3%£©¡£Òò´Ë£¬¿ÉÒÔÓôËÕ÷ÏóÇø·Ö˲ʱÐÔ£¨ÑªÇå·µ»¹sero-reverting£©ÓëÒ»Á¬ÐÔADA£¬²¢½¨ÒéÓÃÒÔÏÂÒªÁìÀ´ÆÀ¹ÀADAµÄÒ»Á¬Ê±¼ä:
• ˲ʱÐÔ ADA ÏìÓ¦£º
–Ò©ÎïÖÎÁÆÒýÆðµÄADAÔÚÖÎÁÆ»òºóÐøÊÓ²ìʱ´úÖ»ÔÚÒ»¸ö²ÉÑùʱ¼äµã¼ì²âµ½£¨²»°üÀ¨×îºóÒ»¸ö²ÉÑùʱ¼äµã£¬³ý·ÇÔÚÖ®ºó±»Ö¤ÊµÎÞ·¨¼ì²âµ½£©£¬²»È»Ó¦ÊÓΪһÁ¬ÐԵ쬻ò£º
–Ò©ÎïÖÎÁÆÒýÆðµÄADAÔÚÖÎÁÆÊ±´ú£¨°üÀ¨Ëæ·ÃÆÚ£¬ÈôÊÇÓеϰ£©ÓÐÁ½¸ö»òÁ½¸öÒÔÉϲÉÑùʱ¼äµã±»¼ì²âµ½£¬ÆäÖеÚÒ»¸öºÍ×îºóÒ»¸öADAÑôÐÔÑù±¾£¨ÎÞÂÛÖÐÐÄÓÐÈκÎÒõÐÔÑù±¾£©ÊÇСÓÚ16ÖܵÄʱ¼ä¶Î¾àÀ룬²¢ÇÒÊÜÊÔÕßÔÚ×îºóÒ»¸ö²ÉÑùʱ¼äµãÊÇADAÒõÐÔ¡£
• Ò»Á¬ÐÔ ADA ÏìÓ¦£º
–Ò©ÎïÖÎÁÆÒýÆðµÄADAÔÚÖÎÁÆÊ±´ú£¨°üÀ¨Ëæ·ÃÆÚ£©ÓÐÁ½¸ö»òÁ½¸öÒÔÉϲÉÑùʱ¼äµã±»¼ì²âµ½£¬ÆäÖеÚÒ»¸öºÍ×îºóÒ»¸öADAÑôÐÔÑù±¾£¨ÎÞÂÛÖÐÐÄÓÐÈκÎÒõÐÔÑù±¾£©¾àÀëÓÐ16ÖÜ»ò¸ü³¤£¬»ò£º
–Ò©ÎïÖÎÁÆÒýÆðµÄADA±¬·¢ÂʽöÔÚÖÎÁÆÑо¿ÆÚµÄ×îºóÒ»¸ö²ÉÑùʱ¼äµã£¬»òÕßÓëÉÏÒ»¸öADAÒõÐԵľàÀë²»µ½16ÖܵIJÉÑùʱ¼äµã¡£ËäÈ»ºÜÉÙ¼û£¬µ«ÈôÊÇIgG3»òIgAµÄADAÔÚÑо¿ÈËȺÖÐÕ¼Ö÷µ¼Ö°Î»£¬ÔòÓ¦ÓÃ5ÖÜ£¨¶ø²»ÊÇ16ÖÜ£©µÄʱ¼ä¶ÎÀ´ÐÞ¸Ä˲ʱÐÔºÍÒ»Á¬ÐÔADAµÄ½ç˵¡£ÕâÊÇÓÉÓÚIgG3ºÍIgAµÄ°ëË¥ÆÚ±ÈÆäËûIgG¶Ì£¨IgG3Ϊ7Ì죬IgMºÍIgAΪ5Ì죩¡£
Çë×¢ÖØ£¬ÖÎÁÆÔöÇ¿µÄADA±»É¨³ýÔÚADA¶¯Á¦Ñ§ÆÊÎöÖ®Í⣬ÓÉÓÚÕâÖÖÀàÐ͵ÄÃâÒß·´Ó¦ÔÚ»úÖÆÉÏÓÐËù²î±ð¡£ÔÚÔ¤Ïȱ£´æµÄADAºÜÊÇÆÕ±éµÄÇéÐÎÏ£¬µ¥¶ÀÐÎòÔöÇ¿ADAµÄ¶¯Á¦Ñ§¿ÉÄܺÜÓÐÓá£Õâʱ£¬ÎÞÐ轫ADAÏìÓ¦·ÖΪ˲ʱÐÔ£¨transient£©ºÍÒ»Á¬ÐÔÏìÓ¦¡£ÅÌËãADAµÄÖÐλһÁ¬Ê±¼äºÍËÄ·ÖλÊý£¨Q1ºÍQ3£©ºó¾Í¿ÉÒÔ»®·ÖÐÎò50%¡¢25%ºÍ75%µÄADAÑôÐÔÊÜÊÔÕßµÄADAÒ»Á¬Ê±¼ä¡£ËÄ·ÖλÊýÒªÁì¿ÉÒÔ¸üºÃµØÆÊÎöADAÒ»Á¬Ê±¼äÓëÁÙ´²Ð§Ó¦Ö®¼äµÄ¹ØÏµ£¨ÈôÊÇÓеϰ£©¡£×îºóÒ»µã£¬½«Ë²Ê±ÐÔºÍÒ»Á¬ÐÔ¿¹Ìå»®·Ö½ç˵ΪÔÚÑо¿¿¢ÊÂǰÏûÊźÍÔÚ×îºóÑо¿Ê±¼äµãÈÔÈ»±£´æµÄ¿¹Ì壬ÊDz»Ì«ºÏÊʵģ¬ÕâÊÇÓÉÓÚ˲ʱÐÔºÍÒ»Á¬ÐÔADAµÄ½ç˵½«È¡¾öÓÚÁÙ´²Ñо¿µÄ³¤¶È£¬¶ø²¢·ÇADAÏÖʵһÁ¬µÄʱ¼ä¡£ÈôÊÇʹÓÃÕâÑùµÄ½ç˵£¬½Ï³¤µÄÁÙ´²Ñо¿»á½«ADAµÄÐÔ×ÓÆ«ÆÄµØÅжÏΪ"˲ʱÐÔ¿¹Ìå"¡£
• NAb ±¬·¢ÂʺͶ¯Á¦Ñ§£º
µ±Ñо¿Ð§¹ûÅú×¢£ºÊÜÊÔÕß¿ÉÒÔÆ¾Ö¤ËûÃÇÊÇ·ñÓµÓÐNAbÓënon-NAb ¶ø·Ö×éʱ£¬¿ÉÒÔÔËÓÃÉÏÎÄËùÊö·½·¨£¬»®·ÖÏêϸ¿¼²ìÿ¸ö×éNAbµÄ±¬·¢ÂʺͶ¯Á¦Ñ§¡£
• ½»Ö¯·´Ó¦ÐÔ£º
µ±ÉúÎïÒ©Îï·Ö×ÓÓëÄÚÔ´ÐÔÂѰף¨ËùÓлò²¿·Ö£©Ïàͬ»òÏÕЩÏàͬʱ£¬ÆÀ¹ÀADAÓëÄÚÔ´ÐÔÂѰ׵Ľ»Ö¯·´Ó¦ÐÔºÜÊÇÖ÷Òª£¬ÓÉÓÚÈËÃÇÔ½À´Ô½µ£ÐÄÕâÖÖADA¿ÉÄܵ¼ÖÂÒÔÄÚÔ´ÐÔÂѰ×Öʺľ¡ÎªÌØÕ÷µÄ×ÔÉíÃâÒßÐÔ×ÛºÏÕ÷¡£½«¾ßÓн»Ö¯·´Ó¦ÐÔµÄADAºÍ¶ÔÒ©Îï·Ö×ÓµÄADAµÎ¶ÈºÍ¶¯Á¦Ñ§¾ÙÐнÏÁ¿»áÓÐÖúÓÚÆÀ¹ÀÏà¹Ø¼²²¡µÄ¶ñ»¯¡£
ͼ2.ÖÎÁÆÒýÆðµÄADA±¬·¢¶¯Á¦Ñ§: Ò»¸öÑо¿ÊµÀýÖеÄ˲ʱºÍÒ»Á¬ADAÃâÒß·´Ó¦µÄÉú³¤¡£Ã¿Ò»µãÌåÏÖÔÚËùʾ·¢²¡Ê±¼ä·ºÆðADAµÄÊÜÊÔÕߵİٷֱȣ¬ÆäÒ»Á¬Ê±¼ä¿ÉÄÜÊǶÌÔݵĻò³¤ÆÚµÄ¡£ÔÚ´ËʾÀýÖУ¬10%µÄÊÜÊÔÕßÓÐ 2¸öÔµÄADAʼ·¢Ê±¼ä£¬ÆäÖÐ4%¾ßÓÐ˲ʱÐÔADAÏìÓ¦£¬6%¾ßÓÐÒ»Á¬ÐÔ ADAÏìÓ¦¡£ÀàËÆµÄ£¬ÔÚ6¸öÔµÄADAʼ·¢Ê±¼ä£¬0.5%ÓÐ˲̬ADAÏìÓ¦£¬5.5%ÓÐÒ»Á¬µÄADAÏìÓ¦¡£¸ÃͼµÄºáÖáÒ²¿ÉÒÔʹÓüÁÁ¿¡£
¿ÉÒÔʹÓÃÌæ»»ÒªÁìÐÎòÕâЩADAµÄÊôÐÔ¡£¿ÉÊÇÐè×¢ÖØµÄÊÇ£¬Ö÷¹ÛÐÔµÄÊõÓïÓ¦¸Ã×èÖ¹£¬ÓÉÓÚËüÃÇ¿ÉÄܱ»¹ýʧµØÚ¹ÊÍΪÌåÏÖÓëÁÙ´²Ð§Ó¦Ä³ÖÖˮƽµÄ¹ØÁªÐÔ¡£ÀýÈ磬ADAÑôÐÔÈËȺµÄµÎ¶È¿ÉÒÔ±¨¸æÎªÖÐλÊýºÍËÄ·ÖλÊý¹æÄ££¨IQR£©£¬µ«²»ÒËʹÓÃÖîÈ瓸ߔ»ò“µÍ”µÈ´ÊÓÓÉÓÚÈËÃÇ¿ÉÄܹýʧµØÒÔΪ¸ßµÎ¶ÈµÄ¿¹ÌåÓëÁÙ´²Ð§Ó¦Ïà¹Ø£¨¼´ÒýÆð²»Á¼ÊÂÎñ£©£¬¶øµÍµÎ¶ÈµÄ¿¹ÌåÔò²»»á£¨¼´Á¼ÐÔ£©¡£
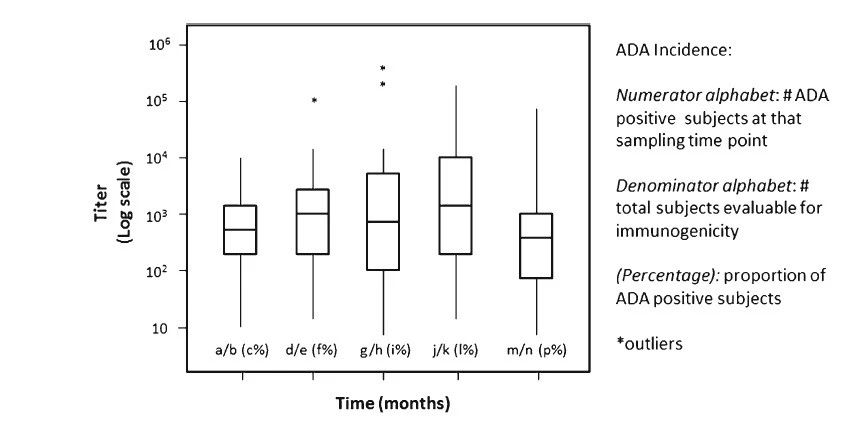
ͼ3.ADAµÎ¶È¶¯Á¦Ñ§¡£Ñо¿ÖÐËæÊ±¼äת±äµÄÕâÖֵζÈͼÓÐÖúÓÚÈ·¶¨ADAˮƽÔÚÖÎÁÆÀú³ÌÖÐÊÇ·ñËæÊ±¼ä¶ø×ª±ä¡£Ã¿¸ö¿òͼÌåÏֵζȹæÄ£¡¢Q1¡¢ÖÐλÊý£¨Q2£©¡¢Q3£¬²»°üÀ¨Òì³£Öµ£¨ÐDZ꣩¡£

ADAÊý¾Ý¿ÉÒÔ×ÃÇéÒÔ±í¸ñ¡¢Îı¾»òͼÏñµÈÐÎʽÏÔʾ¡£ÆäÖУ¬ÒÔ±í¸ñÐÎʽÌṩÔʼÊý¾Ý¿ÉÒÔ×ÊÖúî¿Ïµ»ú¹¹Äܹ»¾ÙÐÐ×ÔÁ¦µÄÆÊÎö£¬ÒÔÑéÖ¤ËùÌá½»µÄЧ¹û¡£µ±ÔÚ±í¸ñÖÐÌṩÑùÌìÖ°ÎöЧ¹ûʱ£¬×îºÃ°üÀ¨£ºÊÜÊÔÕßʶÓÖÃû¡¢ÁÙ´²Õ¾µãʶÓÖÃû£¨ÐÕÃû»ò±àºÅ£©¡¢ÍýÏëµÄËæ·Ã»ò¸øÒ©»á¼û£¨Ô¤×¼Ê±¼äµã£©¡¢¸øÒ©¼ÁÁ¿/ƵÂÊ¡¢Ñù±¾ÊÕÂÞÈÕÆÚ£¨ÏÖʵʱ¼äµã£©¡¢²â¶¨µÄÒ©ÎïѪÇåŨ¶È¡¢Ñù±¾ADAµÄ״̬ºÍµÎ¶È¡¢ÖкÍÄÜÁ¦×´Ì¬µÈ¡£ADAÑôÐÔÊÜÊÔÕßÊýÄ¿ºÜÉÙµÄÑо¿¿ÉÄÜ»áÏÞÖÆÄ³Ð©Êý¾ÝÆÊÎöµÄ¾ÙÐС£
×ܽáÓëǰհ
´ËÎÄΪ±¾¡¶ÂѰ×ÖʺͶàëÄÒ©ÎïÁÙ´²ÃâÒßÔÐÔµÄÆÀ¹ÀºÍ±¨¸æ¡·ÏµÁеĵÚһƪ£¬°üÀ¨Ïà¹Ø½ç˵ºÍÊõÓï¡¢ADAÃâÒß·´Ó¦µÄÌØµãÒÔ¼°ÆäÁÙ´²Ïà¹ØÐÔÆÊÎö¡£ºóÐøÎÄÕ½«Éæ¼°ADA״̬ÓëPK/PD£¬ÁÙ´²Çå¾²ÐÔºÍÁÆÐ§µÄ¹ØÏµ¡£
ÌØÊâÉùÃ÷
±¾ÎÄÈôÓÐÊ詺ÍÎó¶ÁÏà¹ØÖ¸ÄϺÍÊý¾ÝµÄµØ·½£¬Çë¶ÁÕß̸ÂÛºÍÖ¸Õý¡£ËùÓÐÒýÓõÄÔʼÐÅÏ¢ºÍ×ÊÁϾùÀ´×ÔÒѾ½ÒÏþѧÊõÆÚ¿¯¡¢¹Ù·½ÍøÂ籨µÀµÈ¹ûÕæÇþµÀ£¬²»Éæ¼°Èκα£ÃÜÐÅÏ¢¡£²Î¿¼ÎÄÏ×µÄÑ¡Ôñ˼Á¿µ½¶àÑù»¯µ«Ò²²»¿ÉÄÜÍêÕû¡£»¶Ó¶ÁÕßÌṩÓмÛÖµµÄÎÄÏ×¼°ÆäÆÀ¹À¡£
²Î ¿¼ ÎÄ Ï×
1. Guidance for industry: immunogenicityassessment for therapeutic protein products. In: U.S. Department of Health andHuman Services (DHHS), Food and Drug Administration (FDA), Center for DrugEvaluation and Research (CDER), Center for Biologics Evaluation and Research(CBER).http://www.fda.gov/downloads/Drugs/GuidanceComplianceRegulatoryInformation/Guidances/UCM338856.pdf2013.Accessed 18 Mar 2014.
2. Shankar G, et al. Assessment andreporting of the clinical immunogenicity of therapeutic proteins and peptides –harmonized terminology and tactical recommendations. AAPS J. 16(4), 658–673(2014).
3. Mire-Sluis AR, et al.immunoassays used in the detection ofhost antibodies against biotechnology products. J. Immunol. Methods 289, 1–16 (2004).
4. Shankar G, et al. Recommendations forthe validation of immunoassays used for detection of host antibodies against biotechnologyproducts. J. Pharm. Biomed. Anal. 48(5), 1267–81 (2008).
5. Smith HW, Moxness M, Marsden R. Summaryof confirmation cut point discussions. AAPS J. 13(2), 227–229 (2011).
6. Swanson JS, Chirmule N. Assessingspecificity for immunogenicity assays. Bioanalysis 1(3), 611–7 (2009).
7. Schellekens H. Bioequivalence and theimmunogenicity of biopharmaceuticals. Nat Rev Drug Discov. 2002;1(6):457–62.
8. Kuus-Reichel K, et al. Willimmunogenicity limit the use, efficacy, and future development of therapeuticmonoclonal antibodies? Clin Diagn Lab Immunol. 1994;1(4):365–72.
9. Koren E, Zuckerman LA, Mire-Sluis AR.Immune responses to therapeutic proteins in humans—clinical significance,assessment and prediction. Curr Pharm Biotechnol. 2002;3(4):349–60.
10. Schellekens H, Casadevall N.Immunogenicity of recombinant human proteins: causes and consequences. JNeurol. 2004;251 Suppl 2:II4–9. doi:10.1007/s00415-004-1202-9.
11. Wolbink GJ, Aarden LA, Dijkmans BA.Dealing with immunogenicity of biologicals: assessment and clinical relevance.Curr Opin Rheumatol. 2009;21(3):211–5.
12. Yanai H, Hanauer SB. Assessing responseand loss of response to biological therapies in IBD. Am J Gastroenterol. 2011;106(4):685–98.
13. Casadevall N, et al. Pure red-cellaplasia and antierythropoietin antibodies in patients treated with recombinanterythropoietin. N Engl J Med. 2002;346(7):469–75.
14. Macdougall IC. Antibody-mediated purered cell aplasia (PRCA): epidemiology, immunogenicity and risks. Nephrol DialTransplant. 2005;20 Suppl 4:iv9–iv15.
15. Schellekens H. Immunogenicity oftherapeutic proteins: clinical implications and future prospects. Clin Ther.2002;24(11):1720–40.
16. Shankar G, Pendley C, Stein KE. Arisk-based bioanalytical strategy for the assessment of antibody immuneresponses against biological drugs. Nat Biotechnol. 2007;25(5):555–561.
17. Koren E, Smith HW, Shores E, Shankar G,Finco-Kent D, Rup B, et al. Recommendations on risk-based strategies fordetection and characterization of antibodies against biotechnology products. JImmunol Methods. 2008;333(1–2):1–9.
18. Ponce R, et al. Immunogenicity ofbiologically-derived therapeutics: assessment and interpretation of nonclinicalsafety studies. Regul Toxicol Pharmacol. 2009;54(2):164–182.
19. Jahn EM, Schneider CK. How tosystematically evaluate immunogenicity of therapeutic proteins—regulatoryconsiderations. New Biotechnol. 2009;25(5):280–286.
20. Shankar G, Devanarayan V, Amaravadi L,Barrett YC, Bowsher R, Finco-Kent D, et al. Recommendations for the validationof immunoassays used for detection of host antibodies against biotechnology products.J Pharm Biomed Anal. 2008;48(5):1267–1281.
21. Buttel IC, et al. Taking immunogenicityassessment of therapeutic proteins to the next level. Biologicals.2011;39(2):100–109.
22. Wang YM, Fang L, Zhou L, Wang J, Ahn HY.A survey of applications of biological products for drug interference ofimmunogenicity assays. Pharm Res. 2012;29(12):3384–3392.
23. Male C, et al. Predictive value ofpersistent versus transient antiphospholipid antibody subtypes for the risk ofthrombotic events in pediatric patients with systemic lupus erythematosus.Blood. 2005;106(13):4152–4158.
24. Chirmule N, Jawa V, Meibohm B.Immunogenicity to therapeutic proteins: impact on PK/PD and efficacy. AAPSJ.2012;14(2):296–302.
¹ØÓÚ333ÌåÓý¹ÙÍøÒ½Ò© ÁÙ´²Ñо¿·þÎñ£º
333ÌåÓý¹ÙÍøÒ½Ò©ÓµÓÐÒ»Ö§¹æÄ£ÖØ´ó¡¢×¨Òµ³ÉÊìµÄÁÙ´²Ñо¿²½¶Ó£¬¿ÉÌṩ°üÀ¨Ò½Ñ§¡¢ÏîÄ¿¹ÜÀí¡¢¼à²é¡¢»ü²ì¡¢Êý¾Ý¹ÜÀíºÍͳ¼ÆÆÊÎö¡¢ÉúÎïÑù±¾¼ì²âÔÚÄÚµÄÁÙ´²ÊÔÑéÈ«Á÷³Ì½â¾ö¼Æ»®¡£×èÖ¹2020Ä꣬333ÌåÓý¹ÙÍøÒ½Ò©·þÎñµÄ¿Í»§³¬1000¼Ò£¬Íê³É800¶àÏîÁÙ´²ÊÔÑéÏîÄ¿£¬ÖúÁ¦¿Í»§»ñµÃÐÂÒ©Ö¤Êé60¶àÏî¡¢Éú²úÅú¼þÁè¼Ý80Ïî¡£ÔÚÓи»ºñµÄÁÙ´²ÊÔÑé·þÎñÂÄÀú£¬·þÎñÏîÄ¿º¸ÇÁÙ´²Ñо¿¸÷¸öÁìÓò£¬ÔÚÖ×Áö¡¢¸Î²¡¡¢Ïû»¯µÈÁ¢ÒìÒ©ÁìÓòÓµÓÐÆæÒìµÄÁÙ´²·þÎñϵͳ¡£
333ÌåÓý¹ÙÍøÒ½Ò©ÔÚÌìÏÂÉèÓÐ40¶à¸öÁÙ´²¼à²éÍøµã£¬ÓëÌìϽü600¸öÁÙ´²ÊÔÑé»ú¹¹Õö¿ªºÏ×÷£¬²¢ÔËÓÃORACLE OC/RDC¼°CTMSϵͳ£¬¿ØÖÆÁÙ´²Êý¾ÝÊÕÂÞµÄʵʱÐÔ¡¢¹ÜÀíÁÙ´²ÊÔÑéÀú³ÌµÄ¹æ·¶ÐÔ¡£